이번 강의를 통해 알아볼 것은 크게 네 가지다.
- 전체 영공간(whole null space) 구하기
- Pivot variables과 free variables
- Special Solutions
- 기약행 사다리꼴 행렬 rref(A) = R
1. 전체 영공간 구하기
이전 글에서 다뤘었던 영공간 N(A)는 Ax=0의 모든 해로 이루어진 공간을 의미했다. 그렇다면 이번에는, 전체 영공간(whole null space)을 구하는 방법에 대해 알아보자. 구하는 방법은, 다음과 같이 역시나 elimination(소거법)을 이용하는 것이다.
그 전에 먼저 알아둬야 할 사실은,
elimination을 이용하기 때문에 원래의 방정식 Ax=0의 해 즉, null space가 바뀌는 것은 아니라는 점이다.
단지 column space만이 변한다.

가장 먼저, 첫 번째 pivot의 아래에 있는 원소를 모두 0으로 만든다.
두 번째 pivot을 정하기 위해 그다음 column을 살펴보면 행변환을 통해서도 pivot을 정할 수 없기 때문에(pivot은 0이 될 수 없음), 그다음 column으로 넘어가야 한다.
이것이 의미하는 바는 무엇일까?
바로, col2는 col1에 종속되어 있다는 사실을 말해준다.
행렬 A에서 확인해 보면 실제로 col2는 col1의 2배로 나타난다.

결과로써, Ax=0에서 Ux=0의 방정식을 푸는 문제로 바뀌었음을 알 수 있다.
그림에서 표시한 것과 같이 행렬 U는 echelon form(사다리꼴 형태)이며,
pivot 성분이 속한 pivot column과 그 외의 free column으로 이루어진다.
또한 이때, pivot의 개수를 행렬의 rank라고 한다.
이는 첫 번째 소거 과정에서 알아본 것처럼 종속되어있지 않은
즉, 독립인 열과 행의 개수와 관련되어 있음을 알 수 있다.
이 중 free column이 의미하는 바는,
해당 열과 곱해지는 미지수에는 어떤 숫자든 자유롭게 할당할 수 있음을 의미한다.
이 미지수를 free variable이라고 한다.

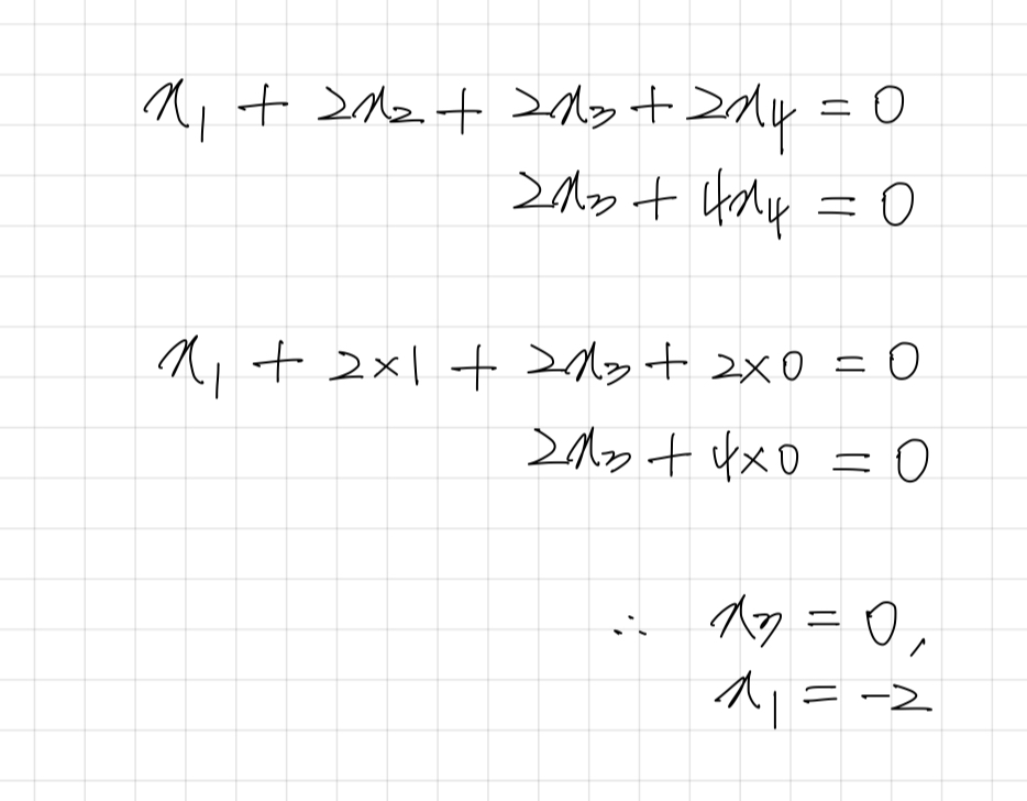
두 번째 열과 네 번째 열이 free column에 해당하므로,
계산의 편의를 위해 우선 x2=1, x4=0으로 할당하고 Ux=0의 해를 구하면 다음과 같다.

이렇게 구한 해 x=[-2 1 0 0]'에 대해,
어떠한 상수 c를 곱한 것 역시 null space에 존재하기 때문에,
해의 최종적인 형태는 c[-2 1 0 0]'이 되고 이것은 4차원 공간 R4에 있는 직선이 된다.
그렇다면, 이 직선 c[-2 1 0 0]'이 전체 영공간일까?
답은 No다.
위의 예시에서는 총 2개의 free column이 있기 때문에
마찬가지로 2개의 free variable이 존재하고, 이를 위해 한 가지의 경우가 더 필요하다.

이번에는 같은 방법으로 x2=0, x4=1로 할당해 해를 구해보았다.
마찬가지로 해의 최종적인 형태는 d[2 0 -2 1]'가 된다.
처음에 구했던 [-2 1 0 0]'과 [2 0 -2 1]'를 special solution이라고 한다.
또한 이들 special solution을 구할 때는, 계산의 편의를 위해 했던 것 처럼
첫 번째 free variable을 1로 두고 나머지는 0으로,
두 번째 free variable을 1로 두고 나머지는 0으로 두는 식으로 구하는 것이 일반적이다.
이제 이 special solution들로 구하려고 했던 전체 영공간(whole null space)을 나타낼 수 있다.

마지막으로, special solution은 얼마나 존재하는지 알아보자.
(special solution의 개수) = (free variable의 개수)
(free variable의 개수) = (column의 개수) - (rank의 수)
즉, # of free variables = n - r
위의 과정을 대입해 보면 쉽게 이해할 수 있을 것이다.
2. 기약행 사다리꼴 행렬
앞서 살펴본 Ux=0을 통해 전체 영공간을 구할 수 있었다. 이때, U는 사다리꼴 형태로써사다리꼴 행렬이라고 부르는데 여기서 한 단계 더 나아가 기약행 사다리꼴(reduced row echelon form, rref)을 구해 더 간편하게 전체 영공간을 구할 수 있다.

위의 과정을 나타내면 다음과 같다
① pivot을 모두 1로 만들어 준다.
② pivot 위의 원소도 모두 0으로 만들어 준다.
이렇게 소거법을 한 단계 더 적용해 얻은 행렬을
기약행 사다리꼴 행렬(reduced row echelon matrix), R이라고 한다.
기약행 사다리꼴 행렬 R이 갖고 있는 정보
먼저, pivot이 속한 pivot column과 pivot row, 그리고 free column을 나타낼 수 있는데
이들끼리 열변환을 통해 묶어보면
pivot column들은 identity matirx로 나타나는 것을 확인할 수 있다.
free column들은 또한 F로 나타낸다.

그리고, 다음과 같이 I와 F는 Ux=0에서 구했던 전체 영공간의 special solution에서 나타남을 확인할 수 있다.

이처럼 나타나는 이유는 special solution을 구할 때 계산의 편의를 위해 했던 방법과 관련이 있다. "첫 번째 free variable을 1로 두고 나머지는 0으로, 두 번째 free variable을 1로 두고 나머지는 0으로 두는 식으로 구하는 것이 일반적이다"라고 했던 것은 해당 과정이 결국 U(사다리꼴 행렬)를 다시 한번 소거를 통해 R(기약행 사다리꼴 행렬)로 나타내는 과정에 포함되어 있었기 때문이다.
기약형 사다리꼴 행렬의 전형
기약형 사다리꼴 행렬의 전형은 다음과 같이 나타난다.

이제 이 R에 대하여 Rx=0을 풀면, 간단하게 null space를 찾을 수 있다.

또한, Rx=0에 대하여 다음과 같이 나타낼 수도 있다.

* xpivot = pivot 원소로 이루어진 x의 부분
* xfree = pivot 원소가 아닌 원소로 이루어진 x의 부분
3. Another example
또 하나의 예시를 통해 배운 내용을 복습해 보자.
이번에는 4x3행렬 A를 통해 U를 만들고, 그다음 R을 만든다.

Ux=0
먼저, Ux=0을 통해서 special solutions와 whole null space를 구하면 다음과 같다.

이 예제에서는 free variable이 x3 한 개이므로 special solution 역시 한 개임을 확인할 수 있고,
이에 따라 전체 영공간 역시 c[-1 -1 1]'로 나타난다.
Rx=0
그다음, Rx=0에서는 앞서 나타났던 관계를 확인할 수 있다.

공부한 영상 : MIT 18.06 Linear Algebra, Spring 2005 - 7. Solving Ax=0 : Pivot Variables, Special Solutions
소개 : Gilbert Strang 교수님의 MIT 선형대수학 강의(2005)
링크 : https://youtu.be/VqP2tREMvt0
'배운 것 > 선형대수' 카테고리의 다른 글
| [선형대수] 6. Column Space and Null Space (열공간과 영공간) (0) | 2023.08.09 |
|---|---|
| [선형대수] 5. Permutations, Transposes, Space R^n (치환, 전치, 그리고 n차 공간) (0) | 2023.08.04 |
| [선형대수] 4. Factorization into A=LU (LU 분해) (0) | 2023.07.30 |
| [선형대수] 3. Multiplication and Inverse Matrices(행렬의 곱셈과 역행렬) (0) | 2023.07.29 |
| [선형대수] 2. Elimination(소거법) (0) | 2023.07.28 |